服务热线
400-608-2558
咨询热线
15502965860-
共n个点,现作一条函数使其经过这n各点。设集合
作n个多项式
.对于任意
,都有
使得
是n-1次多项式且满足
并且

称为拉格朗日插值多项式。
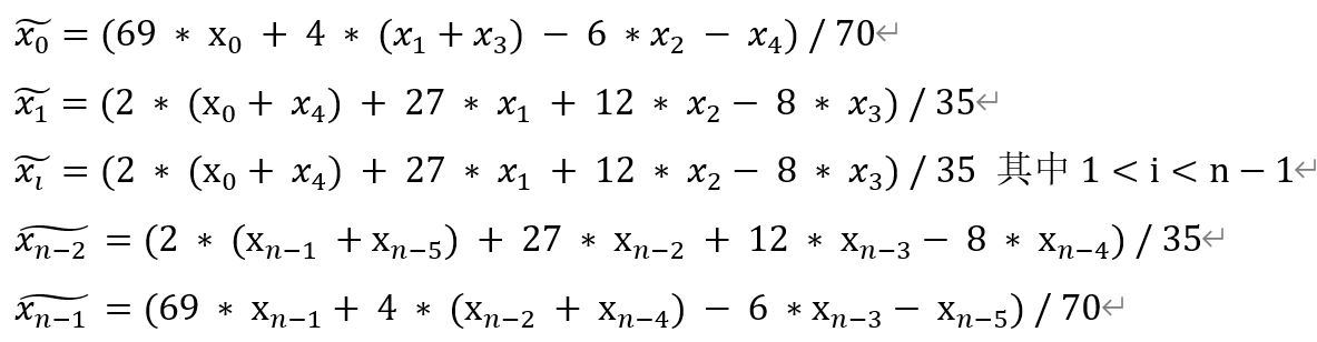
计算其平滑序列,则
的平滑值为:


| 参数 | 类型 | 描述 |
| 选择变量 | 列表框 | 需要做数据标准化的属性/字段/列的集合。这里选择的属性/字段/列的数据类型必须为数值型 |
| 标准化方式_最大最小归一化 | 下拉框 | 原数据与原最小值的差除以原最大值与原最小值的差,得到商后乘以指定最大值与指定最小值的差,乘积后再加上指定最小值。得到标准化后的新数据。通过这种方法,默认将原数据的范围变换到0和1之间;若用户输入指定的最小值和最大值,则将原数据的范围变换到指定mix和指定max之间 |
| 标准化方式_最大值归一化 | 下拉框 | 每个数值除以数值绝对值的最大值 |
| 标准化方式_Z标准化 | 下拉框 | 目的是将数据转化为服从接近正态分布的数据,其均值为0,方差为1。计算公式为数值减去均值后除以标准差 |




